İngiliz milli takımı nasıl kazanır? Penaltı nasıl atılmalı?
Geçtiğimiz günlerde hayatını kaybeden dünyaca ünlü fizikçi Stephen Hawking, 2014 dünya kupası öncesi, İngiltere Futbol Federasyonu'na iki formül vermişti.
Formülleri hazırlamadan önce İngiliz milli takımının 45 maçını televizyondan izleyen Stephen Hawking, gördüklerini analiz ederek formüllere indirgemişti.
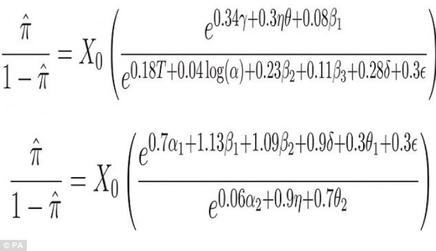
Stephen Hawking’in hazırladığı formüllerden birincisi, "Mükemmel Penaltı Formülü" diğeri ise İngiliz Milli Takımı'nın “Dünya Kupası Başarı Formülü.”
Formüllerin hangi ihtiyaca göre nasıl hazırlandığına gelince…
"Mükemmel Penaltı Formülü"
İngiltere’nin katıldığı turnuvaların birçoğunda penaltı atışları sonucu elendiğini tespit eden Stephen Hawking, milli takım oyuncuları için "Mükemmel Penaltı Formülü" hazırlamıştı.
Formül şöyle:
İdeal penaltı nasıl atılmalı
Medeniyetin doğuşundan beri insanlar olaylar arasında bağlantıyı anlamak ister.
Açıklanamaz olmasından memnun değiller. İnsanlar dünyanın temel düzen yapısını anlamak ister. Dünya Kupası da bu durumdan farklı bir şey değil.
Ancak topa geliş hızı çok önemli. Geri geri gelirken 3 adımdan biraz fazla hareket etmek lazım.
Hızla koşarak vuracaksınız. Ve sert vuracaksınız.
Koşuya başlarken ayakkabınıza değil yukarıya, yıldızlara bakın.
Topa ayakkabının üstü, yani bağcıkların olduğu yerle değil, kenarıyla, yani iç veya dış vuracaksınız. Dış vuruşlarda gol ihtimali yüzde 10 daha yüksek.
Penaltı atarken topu sol ya da sağ üst köşeye vurmak gerekiyor.
Üst köşelere atılan penaltılarda gol şansı yüzde 84 daha fazla.
Savunma oyuncularının gol yapma ihtimali zayıf, hücum oyuncuların gol atma ihtimali, defansif oyunculardan daha fazla.
Sağ ayaklılar, solaklardan biraz daha avantajlı..
Keller ve sarışınların penaltıdan gol yapma istatistikleri daha yüksek, ama bunun bilimsel sebebini bulamadım.
“İngiliz Milli Takımı'nın Dünya Kupası Başarı Formülü”
İngiltere'nin 45 Dünya Kupası maçını analiz ettim. Performanslarını etkileyen 5 önemli faktör var: Çevre, fizyoloji, psikoloji, politika ve taktik.
İngiltere, deniz seviyesinden yukarıda stadyumlarda daha iyi sonuç alıyor. Ilıman iklimlerde, 5 derece sıcaklık artışıyla kazanma oranı yarı yarıya azalıyor. Belo Horizonte'de Kosta Rika'ya karşı oynamak, Manaus'ta İtalya'ya karşı oynamaktan zor.
İngiltere kırmızı forma ile daha iyi maçlar çıkarıyor. 4-3-3 dizilişi ile %58 kazanma oranı var. 4-4-2'nin kazanma oranı %48.
Uruguay karşılaşmasında Suarez’e dikkat edin.
(2014 yılında Brezilya’da düzenlenen dünya kupasına katılan İngiltere, Uruguay'a 2-1 yenilerek kupadan elendi.
Bu mağlubiyetle İngiltere tarihinde ilk defa, "gurup aşaması"nda kupadan elenmişti.
İngiltere’yi deviren Uruguay'ın gollerini kim atmıştı?
Hawking’in dikkat edin dediği, Suarez!
Suarez o tarihlerde dünya çapında bir futbolcu değildi.
Hawking, iklim ve coğrafya koşullarını hesaba katarak, 2018 yılında Rusya'da düzenlenecek dünya kupasında, 2014 Brezilyasından daha iyi sonuç alırız" demişti.