Ankara Büyükşehir Belediyesi’nden Çankaya’da Taşınmaz Satışı
Çankaya ilçesinde 17 adet konut ve Gordion Konutları’nda 1 adet dükkan satışa çıkıyor. Ankara Büyükşehir Belediyesi, taşınmazların peşin perakende satışını 10 Ağustos 2023’te ihale ile yapacak. İhaleye katılmak isteyenler şartnameyi ve diğer detayları..
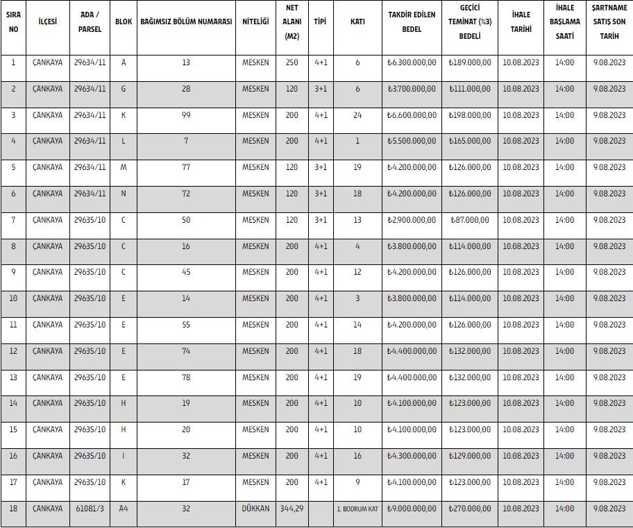
Ankara Büyükşehir Belediyesi, mülkiyeti kendisine ait olan Çankaya ilçesindeki Güney Park Sitesi’nde 17 adet konutun ve Gordion Konutları’nda 1 adet dükkanın peşin perakende satışını ihale ile yapacağını duyurdu. İhale, 10 Ağustos 2023 Perşembe günü saat 14.00’te belediyenin yeni hizmet binasında gerçekleştirilecek.
İhaleye Katılmak İsteyenler Nelere Dikkat Etmeli?
İhaleye katılmak isteyenler, ihale şartnamesini ve diğer eklerini, en geç 9 Ağustos 2023 Çarşamba günü saat 16.00’ya kadar Ankara Büyükşehir Belediyesi, Yeni Hizmet Binası, Emlak ve İstimlâk Dairesi Başkanlığı, Yeni Yerleşimler Şube Müdürlüğü’nden 1.000 TL karşılığında satın alabilirler. Ayrıca ihale ilan bilgilerine [belediyenin web sitesinden] de ulaşılabilir.
İhaleye katılmak için isteklilerde aranan şartlar ve belgeler şöyle:
- Kimlik ve Yetki Belgeleri
- İkametgâh Belgesi
- Teminat Alındı Makbuzu veya Banka Teminat Mektubu
- Yer Görme Belgesi
- Şartname Alındı Makbuzu
- Teklif Mektubu
- Taşınmaz Mal Satış Şartnamesi
- İhalelerden Yasaklı Olmadığına Dair Beyan
Teklif mektupları, en geç 10 Ağustos 2023 Perşembe günü saat 12.00’ye kadar Ankara Büyükşehir Belediyesi, Yeni Hizmet Binası, Yazı İşleri ve Kararlar Dairesi Başkanlığı’na verilmelidir. Teklifler, iadeli taahhütlü olarak da gönderilebilir. Ancak postadaki gecikme nedeniyle işleme koyulmayacak olan tekliflerin sorumluluğu istekliye aittir.
İhale Sonrasında Neler Olacak?
İhale sonucunda taşınmazları satın alan alıcılar, ihalenin kendilerine tebliğ tarihinden itibaren 15 gün içinde satış bedelinin tamamını ve diğer giderleri belediyeye ödemek zorundadır. Ödemeler yapıldıktan sonra tapu devri gerçekleştirilecek ve geçici teminatlar iade edilecektir.
İhale Komisyonu (Encümen), ihaleyi yapıp yapmamakta serbesttir. Encümen’in kararı ise, İta Amiri’nin onayını takiben geçerlilik kazanacaktır. İta Amirinin ihaleyi onaylamayıp iptal etmesi halinde ise, istekli idareye karşı herhangi bir hak iddiasında bulunamaz.

Çankaya’da Satışa Çıkan Taşınmazların Özellikleri Neler?
Çankaya ilçesinde satışa çıkan taşınmazların özellikleri şöyle:
- Güney Park Sitesi’nde 17 adet konut: Bu konutlar, 3+1 ve 4+1 tiplerinde olup, brüt 140 m2 ile 180 m2 arasında değişen alanlara sahiptir. Konutların fiyatları ise 1.100.000 TL ile 1.500.000 TL arasında değişmektedir. Konutlar, merkezi konumda, ulaşım imkanlarına yakın, sosyal donatı alanlarına sahip, güvenlikli ve peyzajlı bir sitede yer almaktadır.
- Gordion Konutları’nda 1 adet dükkan: Bu dükkan, brüt 150 m2 alana sahip olup, fiyatı 2.000.000 TL’dir. Dükkan, ticari faaliyetler için uygun bir lokasyonda, yüksek potansiyelli bir bölgede, cadde üzerinde bulunmaktadır.
Bu fırsatı kaçırmamak için ihaleye katılmak isteyenlerin acele etmesi gerekiyor. Ankara Büyükşehir Belediyesi’nin Çankaya’da satışa çıkardığı taşınmazlar, hem yatırım hem de oturum için ideal seçenekler sunuyor.