Belediye Karabağlar’daki evleri satışa çıkardı: 100 Bin TL üzerinde parası olan vatandaşlar…
İzmir Büyükşehir Belediyesi Karabağlar’daki evleri satışa çıkardı. Satışta olan konutların listesi yayınlandı. Vatandaşlar konutları görebilmek için randevu alabilecekler.
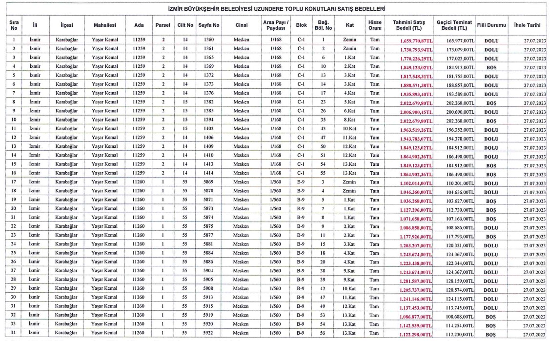
İzmir Karabağlar’daki konutlar için İzmir Büyükşehir Belediyesi satış duyurusunda bulundu. Yapılan duyuruya göre, konutlar için 100 Bin TL üzerinde teminat ödemesi isteniyor. Konutları almak isteyen vatandaşlar ise 16 Temmuz tarihine kadar başvuru yapabilecekler.
Bu kapsamda yayınlanan ilanda şu ifadeler yer aldı:

Belediyemize ait satışa sunulan konutları görebilmek için hafta içi aşağıda yazılı olan numaralarla iletişime geçilerek randevu alınabilir.
İhaleye başvurabilmek için konutların satış bedeli üzerinden %10 oranındaki teminat bedelinin İzmir büyükşehir belediyesi gelir müdürlüğü veznesine ödenerek, mesken şube müdürlüğünden ihaleye giriş belgesi alınması gerekmektedir.
Son başvuru tarihi: 26.07.2023 çarşamba günü saat 12:00 da son bulmaktadır.
Mesken şube müdürlüğünün 293 -4125-1228 nolu telefonlarından ayrıntılı bilgi alınabilir.
İhalede İstenecek Belgeler
a) Yasal yerleşim yeri belgesi
b) Tebligat için adres beyanı vc ayrıca irtibat için telefon ve fax numarası ilç elektronik posta adrçsi
c) Gerçek Kişilerin T.C. Kimlik Numaralı Nüfus cüzdanı sureti, Tüzel Kişilerin Vergi Kimlik Numarası
d) Geçici teminat bedeli makbuzu veya teminat mektubu
e) İhale Şartnamesi alındı makbuzu
f) İstekli adına vekaleten iştirak ediliyorsa, isteklinin adına teklif vermeye yetkili olunduğuna dair noter tasdikli vekaletname ve imza örmeği