Yarın başlıyor: Hatay Valiliği duyuruda bulundu!
Türkiye’yi yasa boğan depremlerin ardından Valilikler bazı açıklamalarda bulunuyor. Hatay Valiliği internet sitesi üzerinden önemli bir duyuruda bulundu. Yapılan duyuruda, yarından itibaren enkaz kaldırma çalışması yapılmaya başlanacağı bildirildi.
Hatay Valiliği enkaz kaldırma çalışmalarına ilişkin önemli bir duyuruda bulundu. Valilik yaptığı açıklamada, belirtilen adreslerde bina sakinleri istedikleri takdirde enkaz kaldırma çalışmalarına refakat edebilecekleri açıklandı.
Söz konusu açıklamalarda şu ifadeler yer aldı:


06.02.2023 tarihinde yaşanan deprem felaketi sonucu yıkılan binalarda 19.02.2023 (Pazar) tarihi itibariyle enkaz kaldırma çalışması yapılmaya başlanacaktır.
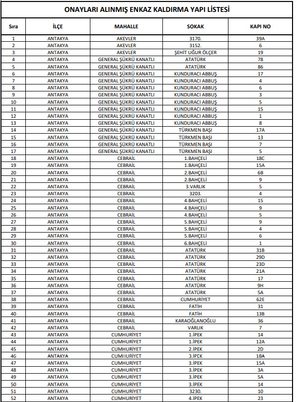
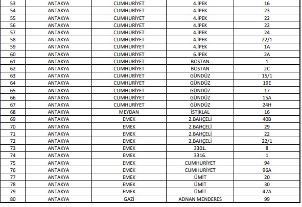
Aşağıdaki ekli listede belirtilen adreslerde bina sakinleri istedikleri takdirde enkaz kaldırma çalışmalarına refakat edebileceklerdir.
Yapılan planlama çerçevesinde ilerleyen günlerde yapılacak enkaz kaldırma çalışmalarına ilişkin güncel adres listesi bilahare Valiliğimiz web sitesi üzerinden paylaşılacaktır.
Kamuoyuna saygıyla duyurulur.